T24-Luc
CBP30278L
产品描述
产品数据库
| I. Introduction | |
| Host Cell: | T24 |
| Expressed gene: | Luciferase |
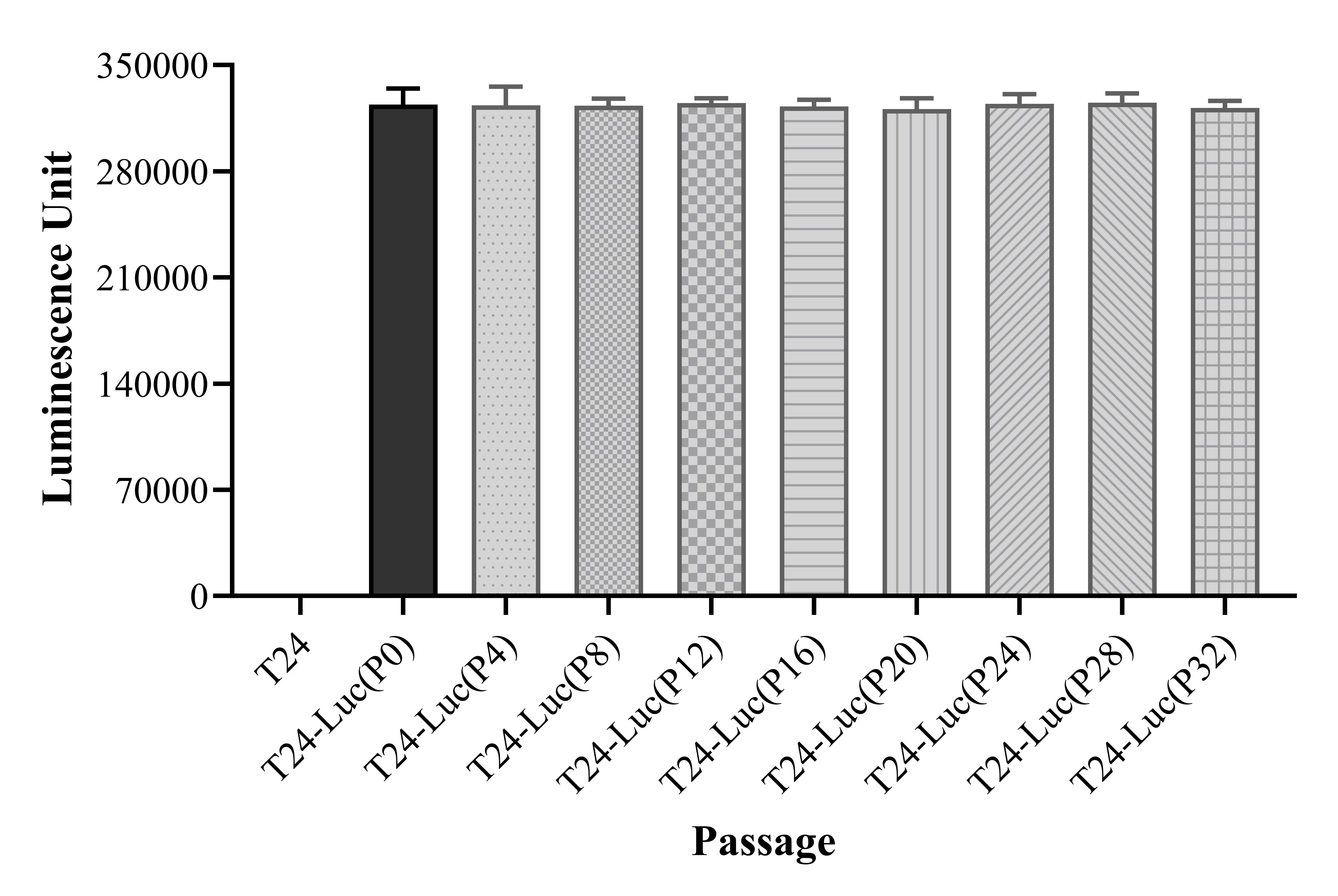
| Stability: | 32 passages(in-house test, that not means the cell line will be instable beyond the passages we tested.) |
| Freeze Medium: | 90% FBS+10% DMSO |
| Culture Medium: | McCoy's 5a+10%FBS+2 μg/ml Puromycin |
| Mycoplasma Status: | Negative |
| Storage: | Liquid nitrogen |
| II. Description of Host Cell Line | |
| Organism: | Human |
| Tissue: | urinary bladder |
| Disease: | transitional cell carcinoma |
| Morphology: | Epithelial |
| Growth Mode: | Adherent |
| III. Representative Data | |
![]() |
|
|
Figure 1. Detect Luciferase assay by Ultra Luciferase Detection Kit CBPH0001(we strongly suggest to purchase from Cobioer). Stability test results. T24-Luc showed at least 32 passage stability with similar luminescence unit. |
|
