ERBB2&ERBB4 Dimerization CHO
CBP74451
询 价
索取Protocol
产品描述
产品数据库
| I. Background | |
| HER2 基因属于人表皮生长因子受体家族之一(ErbB 家族),该家族由 EGFR、HER2、 HER3 和 HER4 四个高度同源的蛋白成员组成,控制着细胞生长、存活分化和迁移。与其 他三个成员不同的是,HER2 蛋白在本质上是一个孤儿受体,缺乏特异性配体,是唯一 一 个可以与家族其他成员结合形成二聚体结构的受体。 HER2 蛋白在与细胞外配体结合后,受体二聚形成异二聚体,随后自身磷酸化,进而激活细胞内信号通路,如丝裂原活化蛋白激酶/ERK 通路、磷脂酰肌醇 3 激酶/Akt/mTOR 通 路等,下游信号通路的激活可调节细胞增殖、生存、以及肿瘤细胞的转移等。HER2 在正 常情况下表达低或不表达,但在各种实体瘤中经常过表达,HER2 与多种癌症相关,包括 乳腺癌、胃癌、结肠癌、膀胱癌、卵巢癌、子宫内膜癌、肺癌等。 |
|
| II. Description | |
ERBB2&ERBB4 Dimerization CHO 报告基因药靶模型很好的模拟了体 内 ERBB2&ERBB4 的信号转导过程,原理见图所示。![]() Figure 1. ERBB2&ERBB4 Dimerization CHO 细胞模型原理图 |
|
| III. Introduction | |
| Expressed gene: | ERBB2&ERBB4 |
| Stability: | 32 passages (in-house test, that not means the cell line will be instable beyond the passages we tested.) |
| Freeze Medium: | 90% FBS+10% DMSO |
| Culture Medium: | F12K+10% FBS+5 μg/ml Puromycin+5 μg/ml Blasticidin |
| Mycoplasma Testing: | Negative |
| Storage: | Liquid nitrogen |
| Application(s): | Functional(Report Gene) Assay |
| IV. Representative Data | |
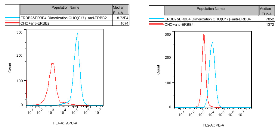
![]() Figure 2. Recombinant ERBB2&ERBB4 Dimerization CHO stably expressing ERBB2&ERBB4. ![]() Figure 3. Dose Response of Ligands in ERBB2&ERRB4 Dimerization CHO(C17). |
|

Figure 4. Inhibition of Human NRG1-β1 induced ERBB2&ERBB4 Dimerization by ERBB2 Abs in ERBB2&ERBB4 Dimerization CHO ( C17).

Figure 5. Inhibition of Human NRG1-β2 induced ERBB2&ERBB4 Dimerization by ERBB2 Abs in ERBB2&ERBB4 Dimerization CHO( C17).


