EGFR&ERBB3 Dimerization CHO
CBP74492
询 价
索取Protocol
产品描述
产品数据库
| I. Background | |
| EGFR(Epidermal Growth Factor Receptor)是上皮生长因子(EGF)细胞增殖和信号 传导的受体,EGFR 属于 HER 受体家族,该家族由四种相关蛋白 EGFR(HER1/ErbB1)、 ERBB2(HER2)、ERBB3(HER3)和 ERBB4(HER4)组成,属于酪氨酸激酶型受体, 位于细胞膜表面,靠与配体结合来激活。ERBB2 是 ErbB(HER)家族中唯一无已知配体的成员,可以与家族其他成员结合形成二聚体结构的受体。 HER 受体通过与不同的配体结合而被激活,包括 EGF、TGFA、肝素结合 EGF 样生长因子、双调蛋白、β细胞蛋白和上皮调节蛋白。配体与受体的细胞外结构域结合后,受体形 成功能活性二聚体[EGFR-EGFR(同型二聚体)或 EGFR-HER2、EGFR-HER3、EGFR- HER4(异二聚体)]。二聚化诱导酪氨酸激酶结构域的激活,从而导致多个酪氨酸残基上 的受体自磷酸化。从而导致一系列接头蛋白(如 SHC、GRB2)的募集,并激活一系列细 胞内信号级联反应以影响基因转录,进而导致癌细胞增殖、减少细胞凋亡、侵袭和转移, 并刺激肿瘤诱导的血管生成。 |
|
| II. Description | |
EGFR&ERBB3 Dimerization CHO 报告基因药靶模型很好的模拟了体内 EGFR&ERBB3 的信号转导过程,原理见下图所示。![]() Figure 1. EGFR&ERBB3 Dimerization CHO 细胞模型原理图 |
|
| III. Introduction | |
| Expressed gene: | EGFR&ERBB3 |
| Stability: | 32 passages (in-house test, that not means the cell line will be instable beyond the passages we tested.) |
| Freeze Medium: | 90% FBS+10% DMSO |
| Culture Medium: | F12K+10%FBS+ 5 μg/ml Puromycin+5 μg/ml Blasticidin |
| Mycoplasma Testing: | Negative |
| Storage: | Liquid nitrogen |
| Application(s): | Functional(Report Gene) Assay |
| IV. Representative Data | |
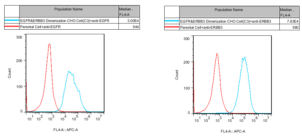
![]() Figure 2. Recombinant EGFR&ERBB3 Dimerization CHO stably expressing EGFR&ERBB3. ![]() Figure 3. Dose Response of Ligands in EGFR&ERRB3 Dimerization CHO Cell( C3).
![]() Figure 4. Inhibition of Recombinant Human NRG-β1 induced EGFR&ERBB3 Dimerization by EGFR or ERBB3 Abs in EGFR&ERBB3 Dimerization CHO Cell(C3). ![]() |
|




